教育学院关于推荐2021-2022年度
国家助学金获得者名单公示
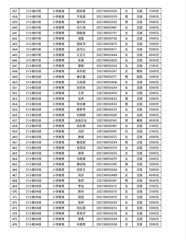
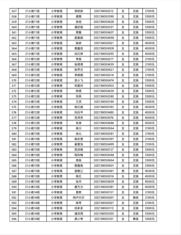
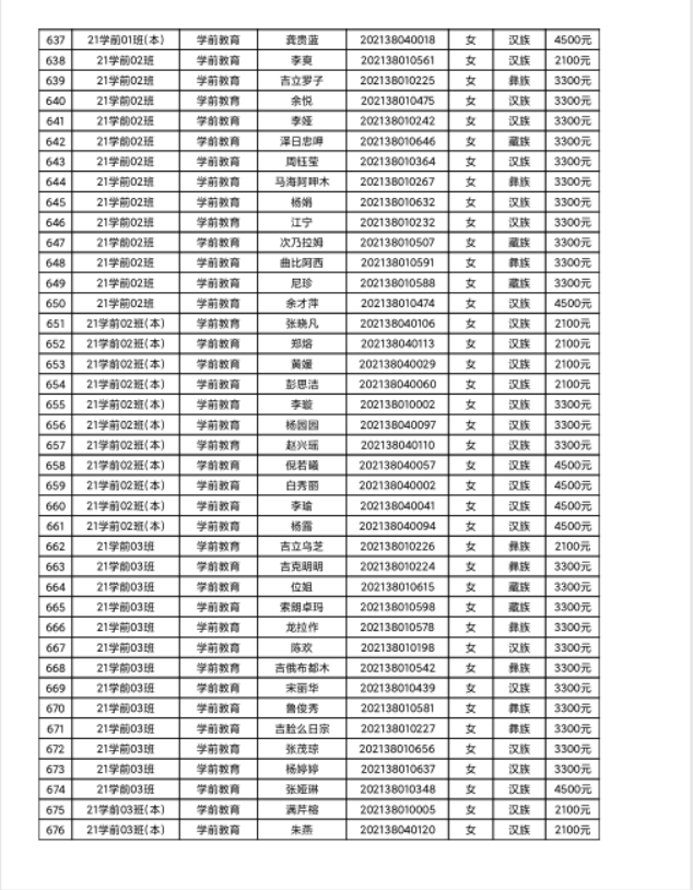
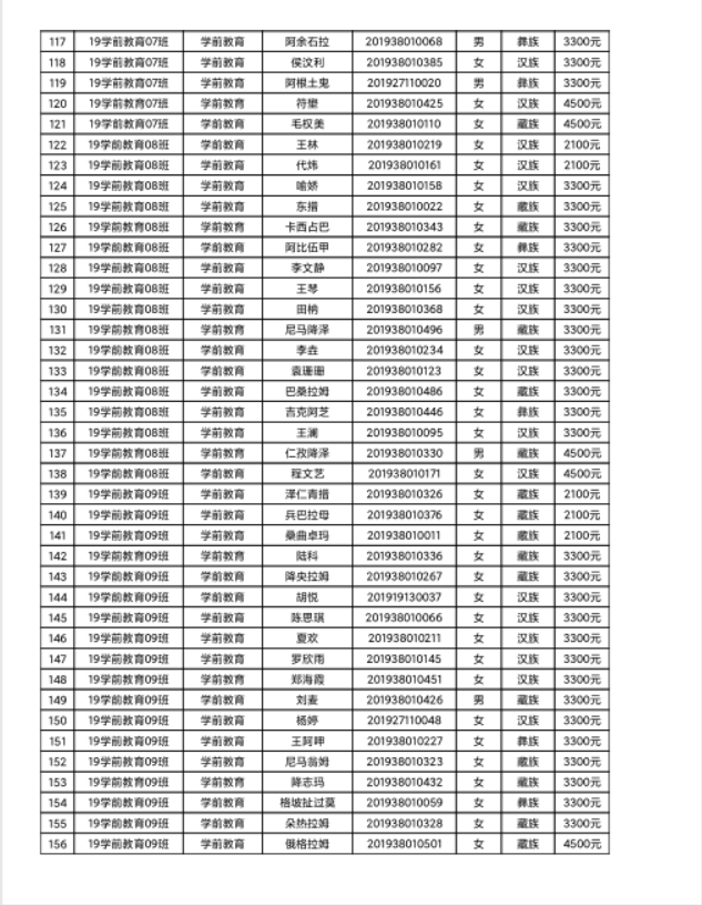
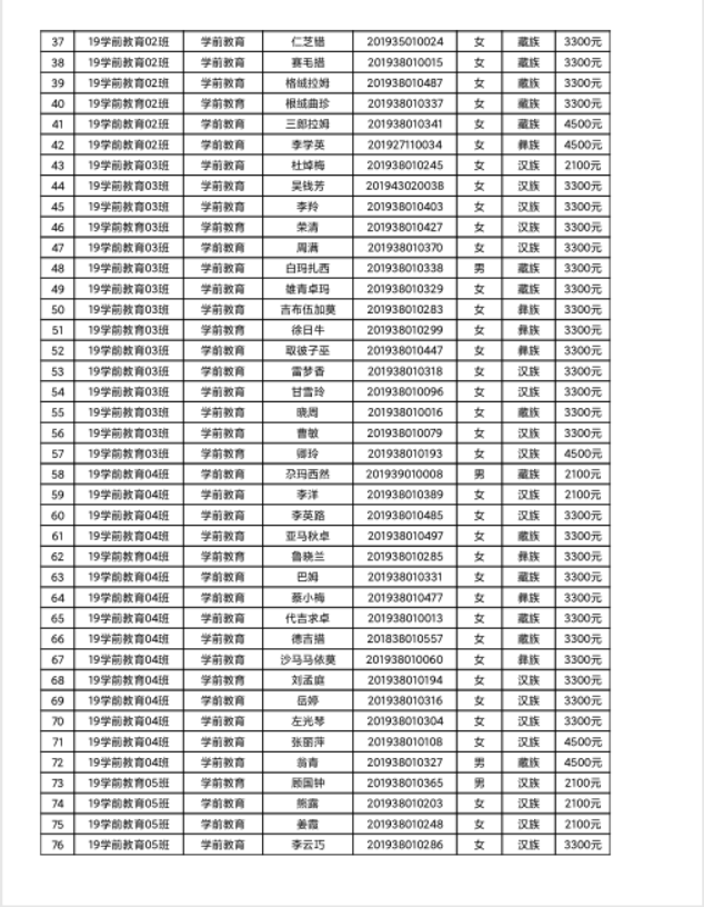
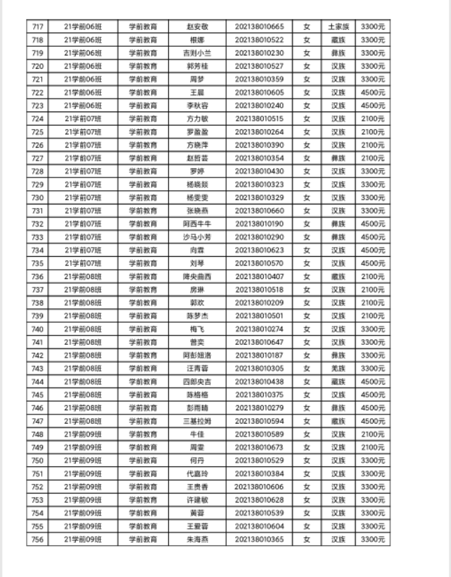
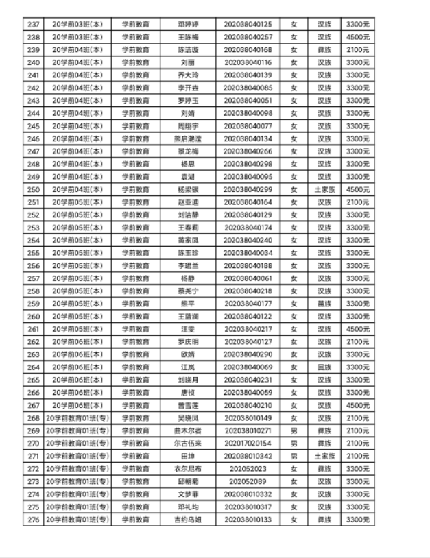
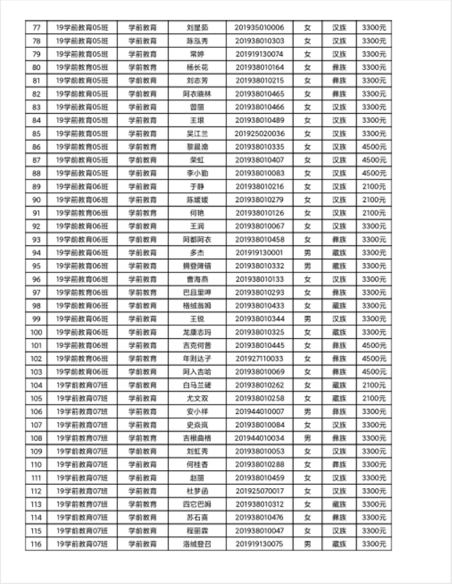
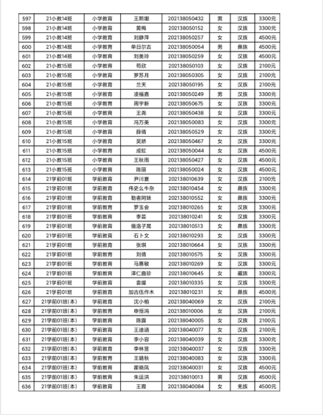
根据《学生资助资金管理办法》(财科教〔2019〕19号,以下简称19号文件)、《本专科生国家奖学金评审办法》(教财函〔2019〕105号)、《退役军人事务部等七部门关于全面做好退役士兵教育培训工作的指导意见》(退役军人部发〔2021〕53号)、《四川省教育厅关于做好2021年国家奖助学金评审工作的通知》(川教函〔2021〕406号)和《四川工业科技学院关于做好2021年国家奖助学金评审工作的通知》(川工科〔2021〕165号)等有关文件规定。教育学院严格按照国家助学金基本申请条件,从各班申请国家助学金的个人资料中进行全面审核,上报学院奖助学金评审领导小组暨评审委员会复审。经审核:仁科、杨措等777名本专科学生符合国家助学金评选条件,现将名单面向全院师生公示。
公示时间:2021年11月19日—11月21日,在公示的三个工作日内,希全院师生按照以下条件予以监督。
附:国家助学金基本申请条件:
l、热爱社会主义祖国,拥护中国共产党的领导;2、遵守宪法和法律,遵守学校规章制度;3、诚实守信,道德品质优良;4、勤奋学习,积极上进;5、家庭经济困难,生活简朴。
线下公示地址:创业街教育学院公告栏
东区10号教学楼大厅
在公示时间内,如有同学对本次公示结果疑问,可通过以下渠道反映。
教育学院国家奖助学金评审工作领导小组:13881060816(61681)
学校学生资助资助中心:0838-3209305
学校纪委电话:0838-3202115
纪委领导电话:18283862177(62838)
另附:教育学院2021-2022年度本专科国家助学金受助名单表
四川工业科技学院
教育学院
二〇二一年十一月十九日